Aurélie 22/12/09
 

 

RLC série, modèles de Thévenin et Norton, concours marine marchande filière professionnelle machine 2006.


. .
.
.

Question 2 (4 points)
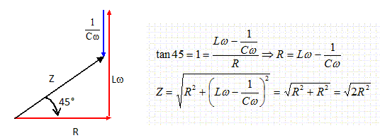
Soit un circuit composé d’une résistance R, d’une inductance L et d’un condensateur de capacité C montés en série. Lorsqu’on applique au circuit une tension v = 240 sin (314 t) , il est traversé par
un courant i = 10 sin (314 t – pi/4 ) . On donne L = 60 mH.
Calculer l’impédance Z du circuit.
Z = Umax / Imax = 240/10 = 24 W.
Calculer R et C.
L'intensité est en retard de pi/4 sur la tension : le dipôle est donc inductif.

2R2 = Z2 ; R = 0,5½ Z = 0,7071*24 =16,97 ~ 17 W.


1/(Cw) =Lw-R avec w = 314 rad/s et L = 0,060 H
1/(Cw) =0,060*314-16,97 =1,87 ohms
C = 1/(1,87*314) =1,7 10-3 F.


 

Question 3 (6 points)
Soit le réseau ci-dessous :

E1 = 20 V ; E2 =28 V ; r1 = 1 W ;  
r2 = 2 Wr3 = 3 W r4 = 4 Wr5 = 5 W.

Calculer les éléments E0 et r0 du modèle de Thévenin équivalent du dipôle actif linéaire situé au-dessous des bornes A et B.
On enlève les sources ; r1 et r3 sont en parallèle, la résistance équivalente est notée r6 :
r6 = r1 r3 /(r1+r3) =3/4 = 0,75 W.
r2 et r5 sont en parallèle, la résistance équivalente est notée r7 :
r7 = r2 r5 /(r2+r5) =10 / 7 = 1,4285 W.
r6 et r7 sont en série : r0 = r6 + r7 =0,75 +1,4285 =2,1786 ~2,2 W.





On remet les sources et on court-circuite r4. Soit Icc le courant traversant le fil AB.

Passer au modèle équivalent de Norton :

r1 et r3 sont en parallèle, la résistance équivalente est notée r6 :
r6 = r1 r3 /(r1+r3) =3/4 = 0,75 W.
r2 et r5 sont en parallèle, la résistance équivalente est notée r7 :
r7 = r2 r5 /(r2+r5) =10 / 7 = 1,4285 W.

Passer au modèle équivalent de Thévenin :



Le signe moins indique que le courant ICC a le sens contraire à celui choisi.
Par suite E0 = r0 |ICC |=2,1786*2,3 =5,0 V.







Calculer l’intensité du courant traversant r4 et indiquer son sens.

I = E0/(r0+r4) =5,0 / (2,2 +4) =0,806 ~0,81 A.

Déterminer la valeur que devrait avoir la f e m. E
2 pour que l’intensité du courant dans la résistance r4 soit nulle.
I = 0 si E0 est nulle.
Or
E0 = r0 |ICC | ; |ICC | doit donc être nul :
E1 r6 / r1 =
E2 r7 / r2 ; 
 
E2  = E1 r6 r2 / (r1 r7 ) = 20*0,75*2 / 1,4285 = 21 V.







retour -menu