Aurélie 02/01/11
 

 

Notion de température au lycée ; rôle de la couche d'ozone stratosphérique : concours agrégation interne  2010

En poursuivant votre navigation sur ce site, vous acceptez l’utilisation de Cookies vous proposant des publicités adaptées à vos centres d’intérêts.



. .
.
.


Comment est définie la température absolue au lycée ? Quel enseignement expérimental peut-on associer à cette notion ?
La température absolue, notée T, grandeur macroscopique, caractérise l'agitation thermique au niveau microscopique. Quand toutes les particules sont immobiles T = 0 K ( kelvin ), zéro absolu.
température (kelvin) = température ( ° Celsius ) + 273,15.
Expérience : placer une thermistance ( CTN ) dans différents bains thermostatés ; relever la température et la résistance de la CTN ( ohmmètre ).
Tracer la courbe d'étalonnage Résistance = f( température) ; utiliser cette courbe pour déterminer la température inconnue d'un bain.
Pour aller plus loin : dans quel intervalle de température, la sensibilité de la CTN est-elle maximale ?
Proposer une expérience, réalisable au lycée, montrant qu'il existe un lien entre le spectre de la lumière émise par un corps chaud et la température de ce corps.
On utilise une lampe à incandescence : on fait varier la tension à ses bornes et on observe  la lumière émise à l'aide d'un réseau.
La lampe brille peu : la température du filament est faible, toute la partie bleue du spectre continu a disparu.
La lampe brille d'un bel éclat : en augmentant proressivement la tension aux bornes de la lampe,celle-ci brille davantage et le spectre continu s'enrichit de bleu.

La loi qui relie lm (longueur d'onde pour laquelle la densité spectrale d'un rayonnement à l'équilibre thermique est maximum ) à la température T à l'équilibre est :
lm T = 2898 µm K.
Comment s'appelle cette loi ?  Loi de Wien.
On donne la température moyenne de surface de quelques étoiles. Quelle est la couleur de chaque étoile ?
étoile Bételgeuse Soleil Sirius Rigel
température moyenne de surface (K) 3000 5600 8000 >10000
lm (µm) 2898/3000 =0,966 2898/5600 =0,518 0,362 < 0,299
couleur rouge jaune bleu bleu
Donner trois exemples de thermomètres en précisant pour chacun d'eux la grandeur physique qui dépend de l'état thermique du corps dont on veut mesurer la température.
Expliquer le fonctionnement d'un de ces trois thermomètres.
Thermomètre à dilatation de liquide : on tient compte de la dilatation d'un liquide à laquelle on retranche la dilatation  du contenant. Le liquide est contenu dans un réservoir surmonté d'un tube fin.
Thermomètre à thermistance : variation de la résistance d'une thermistance
Thermomètre à rayonnement : observation de la lumière émise par un corps chaud.


Comment peut-on atteindre expérimentalement une température de :
80 K : azote liquide.
1 K : hélium liquide
10-6 K : désaimantation adiabatique de corps paramagnétiques.
Le refroidissement d'atomes par des laser a permis d'atteindre, en 2003, la température de 4,50-10 K.

  

Définir  les deux modes de transfert thermique ainsi que le transfert d'énergie par rayonnement. Donner un exemple pour les trois types de transfert.
Transfert par conduction thermique : chauffer une barre métallique à l'une de ses extrémités et observer ce qui se passe à l'autre extrémité.
Il n'y a pas transport de matière au sein de la barre métallique.
Transfert par convexion : toutes les parties d'un fluide ne sont pas à la même température ( cas de l'eau dans un chauffage central) ; on observe des déplaements du fluide qui tendent à rendre uniforme la température.
Transfert par rayonnement : le soleil réchauffe la terre. Les ondes électromagnétiques transportent de l'énergie et se propagent même en l'absence de milieu matériel.
Que répondre à un élève de première qui demande pourquoi la température varie peu sur Terre alors que le Soleil réchauffe la Terre ?
La terre émet dans l'espace qui l'entoure autant d'énergie qu'elle en reçoit.

Rôle de la couche d'ozone stratosphérique.
La diminution de la couche d'ozone stratosphérique est dûe à l'émission de gaz chlorofluorocarbone ( CFC). les rayons UV sont alors moins bien interceptés dans la haute atmosphère et l'énergie solaire arrive davantage au sol. Il en  résulte un réchauffement de la basse atmosphère. Un autre inconvénient introduit par la diminution de la couche d'ozone dans la haute atmosphère est aussi de laisser passer les UV proches, lesquels sont nocifs pour la peau. Dans toute cette partie, on négligera les effets de la pesanteur.
On étudie la propagation d'une onde électromagnétique plane, progressive, monochromatique issue du Soleil, dans la couche d'ozone de la stratosphère. On considèrera l'ozone comme un diélectrique linéaire, homogène et isotrope. On néglige la polarisabilité d'orientation et on ne tient pas compte de la polarisabilité moléculaire.
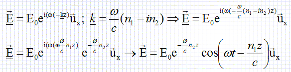
On suppose que la couche d'ozone occupe le demi-espace z >0. Le champ électrique de l'onde qui s'y propage est noté en complexe :

Sous l'action de ce champ les molécules se polarisent. On envisage le modèle de l'électron élastiquement lié dans lequel on étudie  un seul électron par molécule d'ozone. Cet électron ( charge -e, masse m ) situé en un point M est élastiquement lié au centre O fixe de la molécule. On note .
Cet électron est soumis à trois forces :
- unr force d'interaction avec l'onde électromagnétique,
-w0 est une pulsation propre caractéristique du mouvement de l'électron.
Quel est le nom du protocol international qui réglemente l'émission des CFC ? Quelle est l'année de sa signature ?
Le protocole de Montréal fut signé en 1987.
.
Donner la plage d'altitudes par rapport à la surface de la Terre correspondant à la stratosphère ?
Environ de 10 km à 50 km par rapport au sol terrestre.
A quels phénomènes physiques correspondent les forces fA et fB ? Quelle est la dimension de W ?
fA est une force de rappel  tendant  amener l'électron vers  O ; fB est  une force dissipative ( frottements, interaction avec les autres électrons, dissipation d'énergie par rayonnement )
 W : force * durée / (masse *longueur) avec force = masse * longueur  temps-2  ; W est l'inverse d'un temps.
Pourquoi ne tient-on pas compte de la force magnétique qu'exerce l'onde sur l'électron ?
L'électron possède une vitesse v très inférieure à la vitesse de la lumière dans le vide.
Pour une onde plane progressive, monochromatique se déplaçant dans le vide, la relation entre le champ magnétique et le champ électrique s'écrit  : E = B c.

Appliquer le principe fondamental de la dynamique à l'électron.
Les équations étant linéaires, on utilise la notation complexe.

En déduire le moment dipolaire  induit ainsi que la polarisation de la stratosphère.
On note np la densité particulaire d'ozone dans la stratosphère.





Le milieu n'est pas magnétique et est globalement neutre.
Ecrire les équations de Maxwell reliant les champs électrique et magnétique ainsi que la polarisation du milieu.

Les champs n'étant fonction que de z  et t, en déduire l'équation : .

Expression de k2 :


Indice complexe n :

On pose n = n1- in2 avec :
n1 : indice de réfraction ; n2 : indice d'absorption.






Expression du champ électrique observable.

Il apparaît le terme d'absorption exp(-n2wz / c) qui peut s'écrire exp(-z / d) avec d = c / (n2w).
Au bout d'une distance z ~ 5d, l'onde est très atténuée ; d peut être considérée comme une distance caractéristique.
On donne w0 =7,4 1015 rad/s la pulsation centrale de la bande d'absorption de l'ozone.
Dans quel domaine du spectre électromagnétique se situe w0.
f = w0 / 2p  ; l0 = c / f = 2p c / w0=6,28 *3,0 1087,4 1015 =2,5 10-7 m = 2,5 102 nm (domaine UV).
On donne W = 1014 rad/s ; np =4 1018 m-3.
Calculer d pour les deux fréquences suivantes :
f0 correspondant à la longueur d'onde dans le vide l0 = 250 nm.
d0 = c / (n2w0) avec n2 =w2p / (2Ww0) ; d0 =2cW /w2p .
w2p  = np e2/(me0) =4 1018 *(1,6 10-19)2 /(9,1 10-31 *8,84 10-12) =1,27 1022 SI.
d0 =6 108 *1014 / 1,27 1022=4,7 ~ 5 m.
Les rayons UV sont arrètés par la couche d'ozone.
f correspondant à la longueur d'onde dans le vide l = 600 nm.
w =2 p f = 2 p c / l = 6,28 *3 108 / 600 10-9 =3,14 1015 rad/s.
n2 =
0,5 1014 *3,14 1015 *1,27 1022 / (((7,4 1015)2-(3,14 1015)2 +1028 *(3,14 1015)2)) =9,9 10-13.
d =c/(n2w) =3 108 / (9,9 10-13*3,14 1015 ) =9,6 104 m.
La lumière visible n'est pas arrêtée par la couche d'ozone.










menu