Aurélie 30/08/11
 

 

   QCM  : gravitation, satellite : concours avenir 2011.

En poursuivant votre navigation sur ce site, vous acceptez l’utilisation de Cookies vous proposant des publicités adaptées à vos centres d’intérêts.


. .
.
.

Exercice 4.
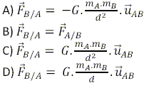
On considère 2 objets ponctuels A et B de masses respectives mA et mB, séparés par une distance d=AB.
On note FB/A la force d’attraction exercée par l’objet B sur l’objet A et  
FA/B la force d’attraction exercée par l’objet A sur l’objet B.
 Le vecteur unitaire de la droite (AB) est orienté de A vers B.
On donne la valeur de la constante de gravitation G = 6,67.10-11 S.I.

C est vrai.

27) Dans le système international d’unités, la constante de gravitation G s’exprime en :
A) N.m.kg-2 ; B) N.m2.kg-1 ; C) m2.kg-1.s-2 ; D) m3.kg-1.s-2
vrai.
G = F d2 / (mA mB) ; force = masse * accélération = masse *longueur / temps.
[G]=M L T-2 L2 M-2 =
T-2 L3 M-1 ( m3.kg-1.s-2 ).

On cherche le point d’équigravité E entre la terre et la lune (le point où les attractions respectives de la terre et de la lune s’annulent). On considère le schéma suivant (les échelles ne sont pas
respectées) :







 

On donne la masse de la terre mT = 6 1021 tonnes, celle de la lune mL = 7 1019 tonnes, ainsi que la distance terre-lune d =380 000 km.

28) On a le résultat :

En E, on considère un objet de masse m = 1 kg.
Force exercée par la terre sur l'objet : F =GMT/x2 ;
Force exercée par la lune sur l'objet : F =GML/(d-x)2 ;
GMT/x2 = GML/(d-x)2 ; (MT/ML)½ = x / (d-x).
x (1 +(MT/ML)½ = d(MT/ML)½ . Donc A.

On considère un satellite en orbite autour de la lune, à une altitude h. On donne le rayon de la lune RL = 1700 km. On considèrera dans toute la suite de l’exercice que l’altitude h est suffisamment
petite pour que l’attraction terrestre soit négligeable devant celle de la lune. On note g0 la valeur du champ de pesanteur à la surface de la lune.
29) On a la relation :

Force de gravitation exercée par la lune sur une masse m = 1 kg située sur le sol lunaire :
F = G ML / RL2 = g0. Donc B.

30) En première approximation, on considère que RT/RL = 4 et que mT/mL = 100. On souhaite comparer la valeur du champ de pesanteur gterre à la valeur g0 du champ de pesanteur à la surface de la
lune. On a la relation :
A) g0 = 0,16 gterre ; B) 
g0 = 1/6 gterre ; C) g0 = 0,32 gterreD) aucune des 3 réponses précédentes.
G ML / RL2 = g0 ; G MT / RT2 = gterre ; g0 / gterre = MLRT2 / (RL2 MT)=16 / 100 = 0,16 ; Donc A.






31) Si on note g la valeur du champ de pesanteur lunaire à l’altitude h du satellite, on a :
A) g =g0(RL/(RL+h))2
vrai ;  B) g=g0RL/(RL+h) ; C) g=g0RL/h ; D) g0(RL/h)2.
G ML / RL2 = g0G ML / (RL+h)2 = g ; g = g0RL2 / (RL+h)2.


32) On suppose que le mouvement du satellite est circulaire uniforme.
On peut dire à propos du satellite que :
A) son accélération est nulle
B) son accélération est tangentielle à la trajectoire
C) son accélération est normale, dirigée vers l’extérieur
D) son accélération est normale, dirigée vers l’intérieur :
vrai.

33) On désigne v la valeur de la vitesse du satellite, w sa vitesse angulaire et a la valeur de son accélération. On a la relation :
A) a = v2/h ; B)  a =w2(RL+h)
vrai ; C) a =w2/(RL+h) ; D) aucune des 3 réponses précédentes.
a = v2/(RL+h) avec v = w(RL+h) d'où : a =
w2(RL+h).

34) On a la relation :

v = (GML/(RL+h))½ avec G ML / RL2 = g0 ;
v = (g0RL2/(RL+h))½. Donc A.








 
35) La vitesse angulaire du satellite est de :

v = (g0RL2/(RL+h))½ et v = w(RL+h)
d'où :
w = (g0RL2/(RL+h)3)½. Donc B.

36) La période de révolution du satellite est de :

Le satellite décrit la circonférence 
2p(RL+h) à la vitesse v en T seconde.
T = 2p(RL+h)/ v ; v = (g0RL2/(RL+h))½ d'où T = 2p (RL+h)/(g0RL2))½. Donc D.










menu