Aurélie 15/03/11
 

 

 Concours assistant d'ingénieurs :  techniques d'analyse chimique  2010 ( Reims )

D-xylose : configuration,  dosage en retour, pouvoir rotatoire, anomère, RMN xylitol.

En poursuivant votre navigation sur ce site, vous acceptez l’utilisation de Cookies vous proposant des publicités adaptées à vos centres d’intérêts.


. .
.
.

Problème 1 :
Le xylitol est un édulcorant obtenu par réduction du D-xylose, sucre issu de l'hydrolyse d'hémicelluloses contenues dans les parois des végétaux ( écorces de bois, paille...). Cette étape de réduction se fait industriellement par hydrogénation catalytique, mais peut être effectuée par des microorganismes ( levures ).
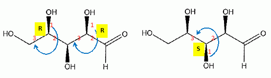
  précisez la configuration absolue des carbones asymétriques du D-xylose.

Donner la représentation de Fisher du D-xylose. Que signifie le D de D-xylose ?
D signifie dextrogyre.

Donner la structure du xylitol. Ce composé est-il optiquement actif ?

Ce composé possède un plan de symétrie passant par le carbone 3 : il n'est pas optiquement actif.


Proposer une autre méthode de réduction du D-xylose, réalisable au laboratoire.
Réduction par NaBH4.

Le D-xylose est disponible sous forme d'une solution aqueuse appelée sirop. On souhaite déterminer la concentration en D-xylose de ce sirop par iodométrie : le D-xylose est oxydé en acide xylonique ( formule brute C5H10O6 ) par un excès de solution alcaline d'iode et l'iode résiduel est dosé par une solution de thiosulfate de sodium en milieu acide.
Au préalable le sirop est dilué : 5 mL de sirop sont introduits dans une fiole de 100 mL et le volume est complété avec de l'eau. On obtient la solution S1.

   

Donnez l'équation bilan de la réaction d'oxydation du D-xylose par l'iode en milieu basique.
Couple : C5H9O6 - / C5H10O5.
C5H10O5 + 3HO- = C5H9O6 - +2H2O  +2e- ( oxydation )
Couple I2 / I-
I2 + 2e- = 2 I-  ( réduction ).
Bilan :
C5H10O5 + 3HO- + I2 = C5H9O6 - +2H2O  + 2 I-. (1)
Donnez les demi-équations des couples suivants : I2 / I- et S4O62- / S2O32-. Donnez l'équation bilan.
I2 + 2e- = 2 I-  ( réduction ) ; 2 S2O32-= S4O62- + 2e- ( oxydation ).
Bilan :
2 S2O32- + I2 = S4O62- + 2 I-.
Utilisez vous un indicateur coloré ? Si oui, lequel ?
Oui : l'empois d'amidon donne en présence de diiode une couleur violet très foncée.
Expérience : sont introduits dans un erlenmeyer : 20 mL d'une solution de diiode [I2] =5,0 10-2 mol/L + 2 mL d'une solution d'hydroxyde de sodium [NaOH] =2,5 mol/L et 10 mL de la solution S1.
Cette solution est laissée à l'abri de la lumière durant 30 min. Après ce laps de temps, celle-ci est remise à la lumière et on introduit 7 mL d'acide chlorhydrique 1,0 mol/L.
La solution est alors dosée par une solution de thiosulfate [
S2O32-] =0,10 mol/L. On obtient un volume équivalent V1 =16,0 mL.
En déduire la concentration ( g / mL) en D-xylose du sirop.
Qunatité de matière de diiode :
- initiale :
5,0 10-2 * 20 10-3 =1,0 10-3 mol.
- en excès : ½n(
S2O32-) = ½ [S2O32-]V1 =0,5*0,10*16 10-3 =0,80 10-3 mol.
- ayant oxydé le D-xytlose :
1,0 10-3 - 0,80 10-3 = 0,20 10-3 mol .
(1) donne n(D-xylose) = 0,20 10-3 mol dans 10 mL de la solution S1.
[
D-xylose] =0,20 10-3 /0,010 =0,020 mol /L dans S1.
Tenir compte de la dilution au 1/20 : concentration du D-xylose dans le sirop : 0,40 mol/L
M(D-xylose) =5*12+10+5*16 =150 g/mol.
Concentration du D-xylose dans le sirop : 150 *0,20 = 60 g/L ou 0,060 g / mL ou 60 kg m-3.
Quel est le rôle de l'ajout d'acide chlorhydrique 1,0 mol/L ?
 
Faire apparaître tout le diiode ( une partie se trouvant sous forme de IO3- en  milieu basique  ).
Comment qualifie t-on ce type de dosage ?
Dosage en retour ou dosage par différence.

 




Quelle valeur obtenez-vous en mesurant le pouvoir rotatoire spécifique du sirop de D-xylose à l'aide d'un polarimètre ?
On donne [a]D20 =+20,0 ( c =10, H2O) ; longueur de la cuve : 10 cm.
a = [a]D20.C.L.
a (°) angle de rotation du plan de vibration des ondes lumineuses ; [a]D20 : pouvoir rotatoire spécifique ( ° m2 kg-1 )  C: concentration ( kg m-3 ) ; L: longueur (m) de cuve.
a = 20 *60 *0,1 =120°.
Un test à la liqueur de Fehling permet de suivre la réaction de réduction : l'ajout de Cu2+ en milieu basique permet de mettre en évidence la présence  de sucres réducteurs.
 Qu'appelle t-on sucre réducteur ?
Un sucre réducteur possède une fonction aldehyde.
Qu'observe t-on en présence d'un sucre réducteur ?
Un précipité rouge brique de Cu2O(s).

Donner l'équation bilan correspondante. ( dans le cas du glucose).
couple redox : C6H11O7- / C6H12O6.
 C6H12O6 +3HO- = C6H11O7- + 2e- +2H2O (1) oxydation
couple redox : CuT22- / Cu2O(s)
2CuT22-+ 2e- +2HO- = Cu2O(s)+ 4T2- +H2O (2) réduction
 C6H12O6 +5HO- +2CuT22-= C6H11O7- +Cu2O(s)+ 4T2- +3H2O.
En solution, le D-xylose existe sous forme d'un mélange de deux formes cyliques ( anomères a et ß ).
Quelle type de réaction conduit à la formation de ces deux cycles ? Les représenter.
Formation d'un hémiacétal cyclique.

Le spectre RMN13C du xylitol en solution dans D2O est donné.

Combien de pics observez-vous ? Combien de carbones comporte le xylitol ? Justifier.
On observe 3 pics ; le xylitol compte 5 carbones. Du fait de l'existence d'un plan de symétrie, les carbones 1 et 5 sont équivalents, de même pour les carbones 2 et 4.







On réalise une analyse par spectrométrie de masse du xylitol obtenu.
Quel est le pic  moléculaire ? Le pic le plus abondant ?

Que signifie le rapport m / z ?
Les ions sont séparés en fonction de leur rapport masse / charge.








menu