Synthèse peptidique. Bac S Nlle Calédonie  2013

En poursuivant votre navigation sur ce site, vous acceptez l’utilisation de Cookies vous proposant des publicités adaptées à vos centres d’intérêts.





.
.


A quoi reconnaît-on que les molécules suivantes sont des acides aminés ?

Ces molécules possèdent une fonction acide carboxylique et une fonction amine portées par le même atome de carbone. Ce sont des acides a-aminés.
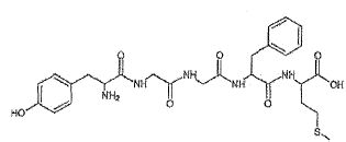
Identifier les 4 acides a-aminés différents nécessaires à la synthèse de la met-enképhaline.

La méthionine, la phénylalanine, la glycine, la tyrosine.
Compléter l'équation ci-dessous, entourer et nommer le nouveau groupe fonctionnel.

En déduire s'il est possible d'obtenir un seul dipeptide en faisant réagir deux acides a-aminés différents ensemble sans précaution particulière. Justifier simplement.

On peut obtenir 4 dipeptides à partir de 2 acides a-aminés différents.

.
.



On envisage la dernière étape de la synthèse de la Met-enképhaline à partir des deux réactifs suivants :

Il est possible d'obtenir a pentapeptides à partir de ces deux réactifs. On donne les formules topologiques de 2 d'entre eux.

Donner celles des deux autres.

.



Compléter le document suivant.
Protection du réactif B :

Protection du réactif A :

Réaction entre le réactif A protégé et le réactif B protégé :

Déprotection de la fonction amine :

Déprotection de la fonction acide carboxylique :









  

menu