Ondes et
particules. Bac S Amérique du nord 2014
En poursuivant votre navigation sur ce site, vous acceptez l’utilisation de Cookies vous proposant des publicités adaptées à vos centres d’intérêts.
|
|
|
| .
. |
|
|
Expérience des fentes d'Young.
Au début du XIXè siècle, T. Young éclaire deux fentes F1 et F2
fines et parallèles à l'aide d'une source lumineuse monochromatique. On
observe sur un écran des franges brillantes et des franges sombres.

Qualifier les interférences en A et B. En A la frange est brillante, les interférences sont constructives.
En B la frange est noire, les interférences sont destructives. Ci-dessous sont représentées les évolutions temporelles de l'élongation de trois ondes (a), (b) et (c).
Choisir en justifiant, les deux ondes qui interfèrent en A et en B. Les ondes (a) et (c) étant en phase interfèrent de manière constructives en A. Les ondes (a) et (b) ou encore (b) et (c) étant en opposition de phase interfèrent de manière destructives en B.
En 1961, C Jönsson reproduit l'expérience d'Young en remplaçant la
source lumineuse par un faisceau d'électrons de mêms caractéristiques.
l'impact des électrons est détecté sur un évran après laue passage à
travers la plaque percée de deus fentes.


Peut-on prévoir la position de l'impact d'un électron ? Justifier. Il
n'est pas possible de prévoir l'impact d'un électron unique ; pour un
petit nombre d'impacts, les positions des électrons sont aléatoires.

En quoi cette espérience met-elle en évidence la dualité onde-corpuscule pour l'électron ?
Pour un grand nombre d'impacts, la figure observée sur l'écran rappelle
une figure d'interférences optiques. On doit considérer l'électron
comme une onde. Par contre pour un petit nombre d'impacts, l'électron
est considéré comme une particule.
|
|
|
Déterminer la valeur de la longueur d'onde de l'onde de matière associée à un électron.
A partir de l'expérience : interfrange i = lD/b ; l = i b / D avec i = 2,0 10-6 m ; b = (0,8 ±0,2 ) 10-6 m ; D = (0,350 ±10-3 ) m.
l=2,0 10-6 *0,8 10-6 / 0,350 = 4,6 10-12 ~5 10-12 m ~5 pm.
Calcul théorique : l = h / (m v) avec h = 6,6 10-34 J s ; m = 9,1 10-31 kg et v = 1,3 108 m/s.
l = 6,6 10-34 /(9,1 10-31 *1,3 108)=5,6 10-12 m = 5,6 pm.
On admettra que cette longueur d'onde est connue avec une incertitude égale à 5 10-13 m.
Vérifier la cohérence des observations expérimentales.
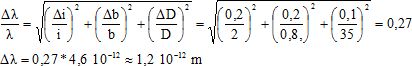
L'incertitude sur la mesure de la longueur d'onde est évaluée par :

Expérimentalement l = 5 ±1 pm ( intervalle de confiance [4 ; 6 pm] )et théoriquement l
= 5,6 ±0,5 pm ( intervalle de confiance [5,1 ; 6,1 pm]. Les intervalles
de confiance se chevauchant, les valeurs sont cohérentes.
|
.
|
|
L'une
des deux fentes de la plaque est dorénavant bouchée et l'autre de
largeur a = 0,2 µm est centrée sur l'axe Ox du canon à électrons.

Quel est le phénomène physique observé ?
On observe un phénomène de diffraction.

Déterminer la valeur de l'angle q.
On note L la largeur de la tache centrale : tan q ~ q=½L /D = 8 10-6 / 0,35 =2,3 10-5 rad.
Retrouver l'ordre de grandeur de la longueur d'onde de l'onde de matière associée à un électron.
q = l /a ; l = a q = 0,2 10-6*2,3 10-5 ~4,6 10-12 m ~4,6 pm.
|
|
|