Une lunette de visée, bts géomètre 2013.
En poursuivant votre navigation sur ce site, vous acceptez l’utilisation de Cookies vous proposant des publicités adaptées à vos centres d’intérêts.
|
|
.
|
|
|
Lunette de visée.
La lunette de visée est constituée de trois éléments alignés selon un
même axe optique :
- un objectif : une lentille L1, de centre
optique O1, de vergence C1
= 5,00 d
associée à une lentille L2, de centre optique O2,
de distance focale f2’ = -5,00 cm ;
- un réticule ;
- un oculaire : une lentille L3, de centre
optique O3, de distance focale f3’
= 2,00 cm.

Lors du réglage de
la lunette, on agit d’abord sur l’oculaire afin d’observer une image
nette du réticule, puis sur la lentille L2 afin
d’observer une image nette de la mire. La mire utilisée est située à 45 m (donc on pourra considérer qu’elle se situe à l’infini). Sur cette mire, on vise une graduation qui a une hauteur de 1 cm. Dans la suite, cette graduation sera notée AB ( AB = 1,0 cm). On notera : A1B1 l’image de AB par la lentille L1 ; A2B2 l’image de A1B1 par la lentille L2 ; A’B’ l’image de A2B2 par la lentille L3.
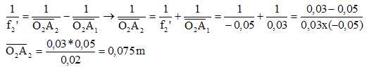
Étude optique au niveau de l’objectif. Déterminer la distance focale f1’de la lentille L1. f1' = 1/C1 = 1/5,00 = 0,200 m = 20,0 cm. Où se forme l’image A1B1 ? l'image d'un objet situé àl'infini se forme dans le plan focal image de la lentille L1. Quelle est la taille de cette image A1B1 ? La graduation de hauteur 1 cm =0,01 m située à une distance d = 45 m est vue sous l'angle a =0,01/45 =2,22 10-4 rad. La taille de l'image A1B1 est égale à a f1' =2,22 10-4*0,20 = 4,44 10-5 m. La lentille L2 est située 17,0 cm après la lentille L1. Sur l’axe optique, quelle est la valeur de la distance algébrique O2A1 ? A1 est situé à droite de O2 : O1A1-O1O2 = 20,0-17,0 = 3,00 cm. En déduire la valeur de la distance algébrique O2A2.
 En déduire la taille de cette image A2B2. A2B2 = A1B1 *O2A2 / O2A1 = 4,44 10-5 *0,075 / 0,03 =1,1 10-4 m. Compléter le schéma en y faisant figurer à l’échelle horizontale 1/2 : - le foyer image F’1 de la lentille L1 ; - la lentille L2 et ses foyers ; - la construction des images A1B1 et A2B2.
|
.
. |
|

|
.
|
Étude optique au niveau de l’oculaire. L’observation est faite à travers l’oculaire sans accommodation par une personne à la vue normale. Donner la position de l’image observée à travers l’oculaire ? A'B' image définitive située à l'infini est vue sans accommodation. En déduire la valeur de la distance algébrique O3A2. L'objet A2B2 se trouve donc dans le plan focal objet de l'oculaire L3. O3A2 = f3' =2,0 cm Compléter le schéma en y faisant figurer la lentille L3.
 Où doit se trouver le réticule pour être observé nettement ? L'observation est faite sans accomodation, l'image du réticule donnée par l'objectif est à l'infini. Le réticule doit se trouver en F3.
|
|