Electricité. Concours CPR Maroc 2015.

En poursuivant votre navigation sur ce site, vous acceptez l’utilisation de Cookies vous proposant des publicités adaptées à vos centres d’intérêts.




. .



.
.


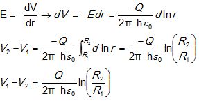
Partie B. Condensateur cylindrique.
Un condensateur cylindrique est constitué de deux cylindres de hauteur h et de rayons R1 et R2 portés aux potentiels respectifs V1 et V2 dans l'air de permitivité e0. La charge du condensateur est Q. On néglige les effets de bords.
31. Expression du champ électrique en un point M appartenant à une surface cylindrique de rayon r.
Par raison de symétrie, le champ est dirigé suivant OM. On applique le théorème de Gauss à la surface formée par le cylindre de révolution de rayon r limité par deux plans distants de h.

Réponse C.

32. Différence de potentiel entre les deux armatures.

  Réponse A.

33. Capacité du condensateur.
C = Q / (V1-V2) =2 p h e0 / ln (R2/R1).
 Réponse C.

.
.




Partie C.
On considère dans le vide une spire (S) ou boucle circulaire filiforme, plane, de centre O, de rayon r=a, contenue dans le plan xOy. La spire est pacourue par un courant I constant.
35. Expression du champ magnétique créé  en un point M de l'axe.
 

 

L'élément de courant Idl crée en M , le champ élémentaire dB, perpendiculaire à PM, de module :

Idl et PM étant perpendiculaire sin(q Réponse D.)=1

Par raison de symétrie le champ résultant sera porté par l'axe horizontal. La composante utile sera dBcos(ß) = dBsin(a)

Pour tous les éléments Idl, l'angle a et PM sont les mêmes. L'intégration de dB sur toute la spire donne le module du champ résultant ( sin a = rayon r / PM )

avec sin a = a / (a2+z2)½ et r = a.

Le sens du champ magnétique est donné par la règle de l'observateur d'Ampère : le sens du champ est de la gauche vers la droite.
Réponse B.

34. Expression du champ magnétique créé au point O par le courant..
Au point O, sin a = 1 ; B(O) = µ0I / (2r) =
µ0I / (2a).
Réponse B.










Partie D.
E est une tension continue et la résistance de la bobine est négligeable. L'interrupteur est fermé depuis longtemps. On l'ouvre à la date t=0 et on pose t = L / R.

36. Expression de la tension u(t).

Réponse
B.


37. Energie perdue par la bobine lorsque K est ouvert.


 Réponse B.

Partie E.
Le circuit est alimenté par une source de tension sinusoïdale de pulsation w = 100 p rd/s  et de valeur efficace Eeff = 220 V. R est variable.
38. Puissance moyenne P absorbée par la résistance R.


Réponse
B.

.

.



  

menu