1. Déterminer la configuration absolue R ou S de l'atome de carbone asymétrique.

Etape 1.
Benzène + A --> toluéne +HCl.
2.1. Donner la formule semi-développée et le nom de A
2.2. Préciser le rôle du trichlorure d'aluminium..
Réaction de Friedel et Crafts, substitution
électrophile sur le benzène

A est le chlorométhane CH
3Cl. AlCl
3 joue le rôle de catalyseur.
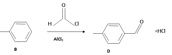
Etape 2.

3.1. Nommer la fonction créée dans cette étape.
Fonction aldehyde.
3.2. Cette fonction
est venue se fixer sur le cycle en occupant une position particulière
par rapport au groupe méthyle déja présent. Proposer une explication à
l'obtention majoritaire de D.
La position en alpha du méthyle est encombrée. La position en para du groupe méthyle ne l'est pas