Nombres
complexes, bac S 2019.
En
poursuivant votre navigation sur ce site, vous acceptez l’utilisation
de Cookies vous proposant des publicités adaptées à vos centres
d’intérêts.
| .
. |
......
.....
|
Amérique du Nord.
Le plan complexe est muni d’un repère orthonormé direct . Dans ce qui
suit, 𝑧 désigne un nombre complexe.
Pour chacune des affirmations ci-dessous, indiquer sur la copie si elle
est vraie ou si elle est fausse. Justifier. Toute réponse non justifiée
ne rapporte aucun point.
Affirmation
1 : L’équation 𝑧−i=i(𝑧+1) a pour solution 𝑧=2½exp(i
p /4).
Faux.
z-i = z i +i ; z(1-i)= 2i ; z = 2i / (1-i) = 2i(1+i) / 2 = i(1+i) = -1
+i.
Module de z : [z| = 2½ ; z / |z| = -2½ / 2 + i 2½ / 2 =
cos (3 p/4) + i
sin (3
p/4) = exp(3 p/4).
Affirmation 2
: Pour tout réel 𝑥 ∈ ]−𝜋/2; 𝜋/2[ , le nombre complexe 1+e2i𝑥
admet pour forme exponentielle 2cos𝑥 e−i𝑥. Faux.
z=1+e2ix = 1 + cos(2x) + i sin(2x).
z =2 cos2(x)+i sin(2x) = 2
cos2(x)+2i cos(x) sin(x) = 2
cos(x) [ cos(x) + i sin(x)] = 2
cos(x) eix.
Affirmation
3 : Un point M d’affixe z tel que |𝑧−i|=|𝑧+1| appartient à la
droite d’équation 𝑦=−𝑥. Vrai.
On pose z = x + iy ; |z-i| = [x2 + (y-1)2]½
=[x2 + y2
+1 -2y]½ ;
|z+1| = [y2
+ (x+1)2]½ =[x2 + y2
+1 +2x]½ ;
[x2 + y2
+1 -2y] =[x2 + y2 +1 +2x] ; y
= -x.
Affirmation 4
: L’équation 𝑧5+𝑧−i+1=0 admet une solution réelle. Faux.
Si cette équation admet une solution réelle z0 : 𝑧05+𝑧0+1=
i.
L'expression écrite à gauche est réelle, celle écrite à droite est
imaginaire. C'est absurde.
Liban.
Le
plan complexe est muni d’un repère orthonormé direct d’unité 2
cm. On appelle 𝑓 la fonction qui, à tout point M, distinct du point O
et d’affixe un nombre complexe 𝑧, associe le point M′ d’affixe 𝑧′ tel
que 𝑧′=−1 /𝑧.
1. On considère les points A et B d’affixes respectives 𝑧A=−1+i et 𝑧B=0,5exp(ip/3).
a. Déterminer la forme algébrique de l’affixe du point A′ image du point A par la fonction 𝑓.
z'A = -1 / (-1+i) = (1+i) / 2.
b. Déterminer la forme exponentielle de l’affixe du point B′ image du point B par la fonction 𝑓.
z'B = -1/ (0,5 exp(ip/3))= -2 exp(-ip/3) = 2 exp( ip) exp(-ip/3) = 2 exp((2ip/3).
c. Sur la copie,
placer les points A, B, A′ et B′ dans le repère orthonormé direct .
Pour les points B et B′, on laissera les traits de construction
apparents.

2. Soit 𝑟 un réel strictement positif et 𝜃 un réel. On considère le complexe 𝑧 défini par 𝑧=𝑟eiθ.
a. Montrer que 𝑧′=1/𝑟exp(i(π−θ)).
z' = -1 / (r exp(iq)) = -1 /r e-iq =1 / r eip e-iq =1/𝑟exp(i(π−θ))
b.
Est il vrai que si un point M, distinct de O, appartient au disque de
centre O et de rayon 1 sans appartenir au cercle de centre O et de
rayon 1, alors son image M′ par la fonction 𝑓 est à l’extérieur de ce
disque ? Justifier.
r <1 ; 1 / r > 1 : M' est donc en dehors du disque de centre O et de rayon 1. L'affirmation est vraie.
3. Soit le cercle G de centre K d’affixe 𝑧K= -0,5 et de rayon 0,5.
a. Montrer qu’une équation cartésienne du cercle est 𝑥2+𝑥+𝑦2=0.
Equation cartésienne du cercle : (x+0,5)2 + y2 = 0,52 ; x2 +x +0,25 + y2 =0,25 ; 𝑥2+𝑥+𝑦2=0.
b. Soit 𝑧=𝑥+i𝑦 avec 𝑥 et 𝑦 non tous les deux nuls. Déterminer la forme algébrique de 𝑧′ en fonction de x et y.
z' = -1 / (x+iy) = -(x-iy) / (x2+y2) = (-x+iy) / (x2+y2).
c. Soit M un point, distinct de O, du cercle G . Montrer que l’image M′ du point 𝑀 par la fonction 𝑓 appartient à la droite d’équation 𝑥=1.
M appartient au cercle G : x = -(y2+x2).
z' = 1 -iy / x.
M' appartient à la droite d'équation x = 1.
|
|
Centres étrangers.
Le plan est muni d’un repère orthonormé direct.
Le but de cet exercice est de déterminer les nombres complexes non nuls tels que les points d’affixes 1, z2 et 1/z soient alignés.
Sur le graphique fourni, le point A a pour affixe 1.
Partie A : étude d’exemples.
1. Un premier exemple
Dans cette question, on pose : z = i .
a) Donner la forme algébrique des nombre complexes z2 et 1 /z.
z2 = i2 = -1.
1/z = 1 /i = i / i2 = -i..
b) Placer les points N1 d’affixe z2 et P1 d’affixe 1/z sur le graphique.
On remarque que dans ce cas les points A, N1 et P1 ne sont pas alignés.

2. Une équation
Résoudre dans l’ensemble des nombres complexes l’équation d’inconnue z : z2 + z +1 = 0 .
D = 12-4 = -3 = 3 i2.
z1 = (-1 +3½i) /2 ; z1 = (-1 -3½i) /2 ;
3. Un deuxième exemple
Dans cette question, on pose : z = (-1 +3½i) /2
a) Déterminer la forme exponentielle de z, puis celles des nombres complexes z2 et 1 / z.
|z |=(1 +3)½ /2 = 1.
z / |z|= -0,5 +i 3½/2 = cos (2p/3) + i sin(2p/3) =exp(i 2p/3 ).
z2 = exp(i 4p/3 ).
1 /z = exp( -i 2p/3 ).
.
b) Placer les points N2 d’affixe z2 et P2 d’affixe 1 /z sur le graphique.
On remarque que dans ce cas les points A, N2 et P2 sont alignés.
Partie B : étude du cas général
Soit z un nombre complexe non nul.
On note N le point d’affixe z2 et P le point d’affixe 1 /z.
1. Établir que, pour tout nombre complexe z différent de 0, on a :
z2 -1 /z = (z2+z+1)(1-1/z).
On dévellope :(z2+z+1)(1-1/z) = z2-z+z-1+1-1/z =
z2 -1 /z.
2. On rappelle que :

En déduire que, pour z différent de zéro, les points A, N et P définis ci-dessus sont alignés si et seulement si z2 + z +1 est un réel.

Si z diffère de 1 : (z2+z+1)(1-1/z) = k(1-1 / z) ;
z2+z+1 = k ; k étant réel, alors z2+z+1 est réel.
De plus si z = 1 ; z2+z+1 =3, nombre réel.
Donc, les points A, N et P définis ci-dessus sont alignés si et seulement si z2 + z +1 est un réel.
3. On pose z = x + i y , où x et y désignent des nombres réels.
Justifier que : z2 + z +1= x2 − y2 + x +1+ i (2xy + y) .
(x+iy)2 +x+iy +1 = x2 +i2y2+2ixy +x+iy+1=x2 − y2 + x +1+ i (2xy + y).
4. a) Déterminer l’ensemble des points M d’affixe z différent de zéro tels que les points A, N et P soient alignés.
b) Tracer cet ensemble de points sur le graphique donné.
z2 + z +1 doit être un réel ;
donc x2 − y2 + x +1+ i (2xy + y) doit être un nombre réel : 2xy + y = 0.
y(2x+1)=0 ; y = 0 ou x = -½.
L'ensemble des points M est constitué des droites d'équation y = 0 et x = -0,5, privé de zéro.

Asie.
1. On considère dans l’ensemble des nombres complexes l’équation (E) à l’inconnue z :
z3 + (−2 *3½ + 2i )z2 + (4 − 4i 3½) z + 8i = 0 (E).
a) Montrer que le nombre − 2i est une solution de l’équation (E).
8i3 + (−2 *3½ + 2i )4i2 + (4 − 4i 3½) 2i + 8i = 0.
-8 i-4 (−2 *3½ + 2i ) +8i-8i2 3½+8i=0.
8*3½ -8i -8* 3½+8i=0 est vérifié.
b) Vérifier que, pour tout nombre complexe z, on a :
z3 + (−2 *3½ + 2i )z2 + (4 − 4i 3½) z + 8i =(z+2i)(z2 -2*3½z+4).
On développe :
(z+2i)(z2 -2*3½z+4) =
z3 −2 *3½ z2 +4 z +2iz2− 4i 3½ z +8i =
z3 + (−2 *3½ + 2i )z2 + (4 − 4i 3½) z + 8i.
c) Résoudre l’équation (E) dans l’ensemble des nombres complexes.
z+2i = 0 conduit à z = -2i.
z2 -2*3½z+4=0 ; discriminant D =(2*3½)2 -4 *4 = -4 = 4 i2.
Solutions : z = (2*3½± 2i) / 2 = 3½± i.
d) Écrire les solutions de l’équation (E) sous forme exponentielle.
z = -2i = 2 exp(-i p/2).
z = 3½+i ; |z| =(3+1)½ = 2 ; z / |z| = 3½/ 2 + 0,5i=cos (p/6) + i sin(p/6) =exp(ip/6) ; z = 2 exp(ip/6).
z = 3½-i ; |z| =(3+1)½ = 2 ; z / |z| = 3½/ 2 - 0,5i=cos (-p/6) + i sin(-p/6) =exp-(ip/6) ; z = 2 exp(-ip/6).
Dans la suite, on se place dans le plan muni d’un repère orthonormé direct d’origine O.
2. On considère les points A, B, C d’affixes respectives − 2i , 3½ + i et 3½ −i .
a) Montrer que A, B et C appartiennent à un même cercle de centre O dont on déterminera le rayon.
Ces trois nombres complexes possèdent le même module 2.
OA = OB = OC, les points A, B, C appartiennent au même cercle de centre O et de rayon 2.|
b) Placer ces points sur une figure que l’on complètera par la suite.

c) On note D le milieu du segment [OB]. Déterminer l’affixe z L du point L tel que AODL soit un parallélogramme.

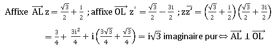
3. On rappelle que, dans un repère orthonormé du plan, deux vecteurs de coordonnées respectives (x, y) et (x ', y ') sont orthogonaux si et seulement si x x '+ y y ' = 0 .
a) Soit u et v deux vecteurs du plan, d’affixes respectives z et z ' .
Montrer que ces deux vecteurs sont orthogonaux si et seulement si est un imaginaire pur.
z = x +iy ; z' = x' +iy' ; = xx' -i2yy' +i(-xy' +x'y).
Donc est un imaginaire pur implique que :xx' +yy' = 0 et que les deux vecteurs soient orthogonaux.
b) À l’aide de la question 3.a), démontrer que le triangle AOL est rectangle en L.
|
....
|
Polynésie.
Pour chacune des quatre affirmations suivantes, indiquer si elle est vraie ou fausse, en justifiant la réponse.
Une réponse non justifiée n’est pas prise en compte.
1. On considère le nombre complexe 𝑍=1+i 3½.
Affirmation 1 : Le nombre complexe z2 est un réel positif. Faux.
Module de z : |z| = (12 +3)½ = 2.
z / |z| =0,5 + 0,5 i 3½ =cos (p/3 ) + i sin (p /3) ; z = 2 exp(ip/3).
z2 = 4 exp(i2p/3).
L'argument de z2 étant différent de 0 ou 2p, z2 n'est pas un réel positif.
Affirmation 2 : L’argument du nombre complexe 𝑍2019 vaut 0 modulo 2p. Faux.
p /3 x 2019 =673 p = p +336 x 2p.
Dans ce qui suit, le plan complexe est muni d’un repère orthonormé direct.
2. On considère dans C l'équation 2𝑧2−3𝑧+5=0.
Affirmation 3 : Cette équation admet deux solutions dont les images sont symétriques par rapport à l’origine du repère. Faux.
Discriminant D = (-3)2 -4 x2 x5= -31= 31 i2.
Solutions : z1 = (3+i 31½) / 4 ; z2 = (3-i 31½) / 4.
Les images de ces points sont symétriques par rapport à l'axe des abscisses.
3. À tout point M d’affixe 𝑧 du plan complexe, on associe le point M′ d’affixe 𝑧’ par définie par :
.
Affirmation 4 : Il existe une infinité de points M confondus avec leur point image M′. Faux.
z = x +iy ; conjugué de z = x-iy ; la relation s'écrit :
z=z' ; x+iy =(x-iy)(1-x-iy)=x(1-x)-y2-i(y(1-x)+xy).
x+iy =x(1-x)-y2-iy.
soit pour les parties réeeles : x = x -x2-y2 ; x2+y2=0.
et pour les parties imaginaires : y = -y ; y =0. Par suite x = 0.
|
|