Le
périscope,
Concours ENAC 2024.
En
poursuivant votre navigation sur ce site, vous acceptez l’utilisation
de Cookies vous proposant des publicités adaptées à vos centres
d’intérêts.
.
| . |
.
.
|
|
.
.
|
..
..
......
...
|
L’entrée d’un périscope est constituée de deux miroirs plans M1 et M2 , circulaires et de centres respectifs S1 et S2. Après réflexions sur M1 et M2 , la lumière entre dans un système de deux lentilles L1 et L2 , assimilées à des lentilles minces de centres respectifs O1 et O2. Les miroirs sont inclinés d’un angle de 45° par rapport à l’axe optique du système représenté
en pointillés. L’orientation algébrique de l’axe optique ainsi que
celle de l’axe transversal sont indiquées sur la figure
(signes +). Les distances focales images algébrisées de L1 et L2 sont respectivement f1′ = 1 m et f2′ = −0,125 m. Un œil
emmétrope (c’est-à-dire san défaut) est placé juste derrière L2. Le périscope Sp est donc l’ensemble catadioptrique {M1
,M2, L1, L2 }. On observe un objet placé dans un plan transversal, en avant de Sp.
On introduit les distances a = S2S1 > 0, b = S2O1 > 0, e = O1O2 > 0 et d = AS1 > 0. Dans tout l’exercice, on admet que les
lentilles fonctionnent dans les conditions de Gauss.

1. L’objet AB est placé à grande distance du périscope (suffisamment loin pour que d puisse être considéré infini). On note e0
la valeur de e permettant à l’œil d’observer AB à travers Sp sans accommoder. Exprimer e0.
Les deux miroirs renvoyent l'objet AB à la distance a+b+d de la
première lentille.

On retrouve donc la lunette terrestre suivante.

AB étant à l'infini, son image A1B1 est en F '1. L'oeil emmétrope observe sans accommoder, l'image finale est à l'infini. Le système est donc affocal. F '1 est confondu avec F2.
L'image A1B1 de AB donnée par {M1, M2, L1) est en F '1.
L'image finale A'B' est à l'infini, donc A1 est confondu avec F2.


2. L’objet étant encore à l’infini, on règle Sp de telle sorte que e = e0 − e où e > 0 et e ≪ e0. Que peut-on affirmer ?
A) L’image de AB par Sp est réelle.
B) L’image de AB par Sp est virtuelle.
C) L’œil peut observer une image nette à travers Sp.
D) L’œil ne peut pas observer d’image nette à travers Sp.
L'objet AB est à l'infini ; l'image donnée par la lentille L1 se trouve en F'1.
La relation de conjugaison pour la seconde lentille s'écrit :

L'image finale se forme avant la seconde lentille.
L'image est virtuelle et l'oeil l'observe en accommodant.
|
...
|
....
|
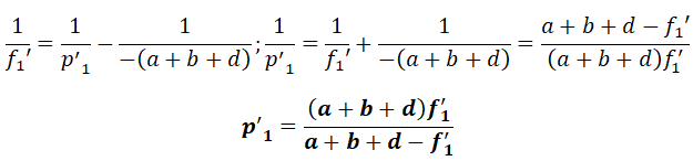
3. L’objet est maintenant placé à distance finie. On note A1B1 l’image de AB par le système {M1,M2, L1} et p1′ = mesure algébrique O1A1. Exprimer p1′.
La relation de conjugaison pour la première lentille s'écrit :

4. Quelle est alors la taille (grandeur algébrique) A1B1 de cette image intermédiaire ?

5. L’image A2B2 de AB par Sp se forme en avant de L2, à une distance A2O2 = dm où dm = 25 cm. On envisage que l’œil puisse désormais accommoder. En outre, A2B2 = 1 mm. On note q > 0 l’angle sous lequel l’image de AB par Sp est vue par
l’observateur (on rappelle que l’œil est derrière et à proximité immédiate de L2 ). Que peut-on affirmer ?
tan q =A2B2 / dm ~ q ~ 1 / 250 =4 10-3 rad.
C'est à dire environ 10 fois le pouvoir de résolution de l'oeil.
6. De quelle distance De > 0 faut-il déplacer L2 depuis la position précédente pour retrouver le réglage initial e = e0 ?
L'objet étant à l'infini, l'image intermédiaire est en F'1. La relation de conjugaison pour la seconde lentille donne :

|
ane.
|
|
|