Aurélie 28/05/07
 

bac Stl 2004 : le salbutamol : étude de la molécule et synthèse.

chimie de laboratoire et procédés industriels 

 


. .

Google


Le salbutamol est un bronchodilatateur utilisé pour des traitements anti-asthmatiques. C'est aussi un produit dopant pour les sportifs, classé parmi les substances pouvant agir comme stimulants. Le salbutamol peut être synthétisé à partir de l'aspirine.

La formule semi-développée du salbutamol est :

Données : 1H ; 6C ; 7N ; 8O.

Étude de la molécule de salbutamol :

  1. Déterminer la formule brute du salbutamol.
  2. Reproduire la formule semi-développée du salbutamol, entourer tous les groupes fonctionnels ou caractéristiques (hormis le noyau benzénique) et pour chacun nommer la fonction correspondante.
  3. Indiquer, à l'aide d'un astérisque, l'atome de carbone asymétrique de la molécule de salbutamol.
  4. Donner une représentation de Cram de l'un des deux énantiomères possibles.
  5. Préciser la configuration absolue de l'énantiomère représenté. Justifier en indiquant l'ordre de priorité des quatre atomes ou groupes d'atomes liés à l'atome de carbone asymétrique.
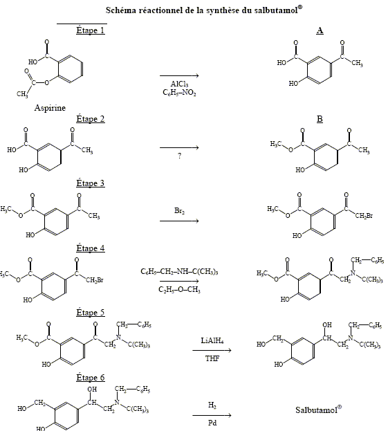
Synthèse du salbutamol :

 

  1. Montrer que le produit A de l'étape 1 est un isomère de constitution de l'aspirine.
  2. Donner le nom de la réaction de l'étape 2. Donner le nom et la formule du réactif permettant le passage de A à B.
  3. Indiquer le type de la réaction de l'étape 4 : addition, élimination ou substitution. Préciser la famille chimique du solvant utilisé de formule C2H5–O–CH3 et le nommer.
  4. Nommer les deux fonctions qui sont transformées lors de l'étape 5.
  5. Justifier le rôle (oxydant ou réducteur) du tétrahydruroaluminate de lithium, LiAlH4.
  6. Montrer que la réaction de l'étape 6 entraîne la modification de la classe d'une fonction.



Étude de la molécule de salbutamol :

Formule brute du salbutamol.

C13H21O3N.

Groupes fonctionnels :

L'atome de carbone asymétrique de la molécule de salbutamolest indiqué avec *.

Représentation de Cram de l'un des deux énantiomères possibles :

numéroter de façon décroissante chacun des quatre substituants selon son numéro atomique.

OH > CH2-NH > cycle benzénique > H.

On place alors l'atome (ou le groupement) de numéro le plus élevé derrière.

On regarde dans quel sens, sens horaire ou trigonométrique, on passe du numéro 1, au 2, au 3.

- Si le sens de rotation est le sens horaire (ou anti-trigonométrique), le carbone est Rectus (R),

- Si le sens de rotation est le sens trigonométrique (ou anti-horaire), le carbone est Sinister (S).

 

 

 


Synthèse du salbutamol :

Le produit A de l'étape 1 est un isomère de constitution de l'aspirine :

A et l'aspirine ont la même formule brute C9H8O4 : ils sont donc isomères.

Ils possèdent des fonctions différentes : donc isomères de constitution.

Nom de la réaction de l'étape 2 :

Etape 4 : substitution.

Le solvant utilisé de formule C2H5–O–CH3 est un éther : méthoxyéthane ou méthyléthyle oxyde.

Etape 5 :

réduction de la fonction ester en fonction alcool primaire ;

réduction de la fonction cétone en alcool secondaire.

Le tétrahydruroaluminate de lithium, LiAlH4 joue le rôle de réducteur.

Etape 6 :

La réduction entraîne la modification de la classe de la fonction amine :

 
retour -menu