Aurélie déc 2001
série de Fourier

rappels mathématiques

fonction créneau

fonction u(t) = p t-t² sur [0 ; p]

En poursuivant votre navigation sur ce site, vous acceptez l’utilisation de Cookies vous proposant des publicités adaptées à vos centres d’intérêts.


. .
.
.

Toute fonction réelle f(x) de période a, peut se mettre sous la forme :

où a0, an, bn sont des nombres réels appelés coefficients de Fourier réels de f(x).

ces coefficients s'obtiennent de la manière suivante :

si la fonction f(x) est paire f(x) = f(-x) ; le développement ne comporte que des termes en cosinus. bn=0

si la fonction f(x) est impaire f(x) = - f(-x) ; le développement ne comporte que des termes en sinus.an=0

l'ensemble des valeurs a0, an, bn forme le spectre réel de f(x) ;

le terme constant ½a0 représente la valeur moyenne de f(x)

le premier terme sinusoïdal s'appelle le fondamental ou harmonique 1.


fonction créneau :

la fonction est symétrique par rapport à l'axe vertical ; f(x) est paire donc bn =0

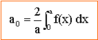
calcul de a0 :

calcul de an :

an = 2 sin (½np) / (np).

soit a1 = 2/ p ; a2 = 0 ; a3 = -2 / (3p) ;a4 = 0 ; a5 = 2/ (5p)

f(x) = 0,5 + 2 / p cos(2p x/a) - 2 / (3p) cos(2p 3x/a) + 2 / (5p) cos(2p 5x/a) + ......

fonction u(t) = p t -t² sur [0 ; p ]

la fonction est symétrique par rapport à l'axe vertical t = ½p ; f(t) est paire donc bn =0

calcul de an :

intégration par partie en posant u = p t -t² ; dériver u' = p-2t ;

v' = cos(2nt) ; primitive v = 1/(2n) sin(2nt) .

calcul de I :

intégration par partie en posant u = p -2t ; dériver u' = -2 ;

v' = sin(2nt) ; primitive v = -1/(2n) cos(2nt) .

par suite J =-2 / p * p / (2n²) = - 1/ n².

an = - 1/ n².


calcul de an :

la fonction u(t) s'écrit alors :


retour - menu