Aurélie février 2001

concours kiné Strasbourg 2000 physique

exercices suivants

quelle (s) est (sont) la (les ) affirmation(s) exacte(s) ?  


1

puissance du moteur

Un moteur à essence consomme 5 L de carburant par heure. La combustion d'un litre d'essence produit une énergie de 24 MJ. Le rendement énergétique du moteur est 30% Quelle est la puissance utile du moteur ?

  1. 36 MW
  2. 10 kW
  3. 111 kW
  4. 1000 W

corrigé

énergie fournie par la combustion de 5 L d'essence :

24 106 *5 = 1,2 108 J

puissance (watt) = énergie (J) divisée par la durée en seconde

P = 1,2 108 * 3600 = 3,33 104 W

puissance utile = 3,33 104 * 0,3 = 10 000 W = 10 kW.

affirmation 2 exacte, les autres sont fausses


2

énergie cinétique et chute libre

Un chéneau situé à 7,2 m du sol fuit goutte à goutte très régulièrement. Lorsque la première goutte touche le sol, la quatrième quitte tout juste le chéneau. Ces gouttes ont une masse de 0,5 g. On néglige la résistance de l'air.

  1. L'énergie cinétique d'une goutte est proportionnelle à la hauteur de chute.
  2. L'énergie cinétique d'une goutte est proportionnelle à la durée de chute.
  3. L'énergie cinétique de la goutte n°3 est 4 mJ.
  4. L'énergie cinétique des 4 gouttes est 56 mJ.

corrigé

origine des énergies potentielles de pesanteur au sol.

conversion de l'énergie potentielle de pesanteur de départ en énergie cinétique.

mghdépart = 0,5 mv²fin.

durant la chute l'énergie mécanique se conserve : mghdépart = mgh+ 0,5 mv² =0,5 mv²fin.

à la date t, la vitesse est v et l'altitude est h: : Ec =mg(hdépart -h)

cette énergie cinétique est proportionnelle à la hauteur de chute.

par contre h = 4,9 t² et l'énergie cinétique n'est pas proportionnelle à la durée de la chute.


première goutte: durée de la chute 7,2 = 4,9 t² d'où t = 1,21 s

énergie cinétique : 0,5 *9,8*7,2 = 35,28 mJ.

rytme des gouttes : 1,21 / 3 = 0,4 s

toutes les 0,4 s une goutte se décroche, puis tombe.

2 ème goutte: 0,81 s de chute

distance parcourue : 4,9*0,81²= 3,21 m

Ec = 0,5*9,8*3,21 = 15,73 mJ

3 ème goutte: 0,41 s de chute

distance parcourue : 4,9*0,41² = 0,82 m

Ec = 0,5*9,8 *0,82= 4 mJ

énergie cinétique totale : 55 mJ

affirmations 1, 3 et 4 exactes, affirmation 2 fausse.


3

puissance consommée dans une bobine

Soit une bobine d'inductance L=10 mH et de résistance r =10 ohms. Elle est alimentée par un générateur de tension sinusoïdale et le courant qui la traverse prend la forme suivante i(t)=0,1 cos(100t) ampère.

  1. La puissance consommée par la bobine vaut 0,1 W.
  2. La tension aux bornes de la bobine ne garde pas un signe constant.
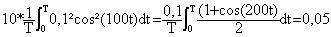
  3. La puissance consommée par la bobine vaut 0,05 W.
  4. La moitié de l'énergie fournie à la bobine est consommée en effet joule.

corrigé

pendant un quart de période la bobine stocke de l'énergie et puis la restitue au quart de période suivante. Seule la résistance consomme de la puissance.

puissance moyenne (watt) consommée par effet joule dans la résistance de la bobine :

tension aux bornes de la bobine : u=Ldi/ dt + ri

u(t) =0,01 *0,1*100*(-1) sin(100t) + 10*0,1 cos(100t)

u(t) =-0,1 sin(100t) + cos(100t)

u(t) ne garde pas un signe constant.

 

affirmations 2 et 3 exactes, les autres sont fausses.


4

puissance d'une pompe

Une pompe prend de l'eau dans un réservoir A et l'envoie dans un réservoir B situé à 240 m plus haut avec un débit de 50 L à la minute. La puissance utile de la pompe vaut

  1. 7,2 MW
  2. 2 kW
  3. 200 W
  4. 720 kW

corrigé

énergie mise en jeu pour monter l'eau d'une hauteur de 240 m :

à chaque seconde la pompe monte 50/60=0,833 kg d'eau d'une hauteur de 240m

E=0,833*240*9,8 = 1960 J/ s ou watt

affirmation 2 exacte, les autres affirmations sont fausses.

retour - menu