QCM autour du
glucose.
Concours ESA Lyon 2014
En poursuivant votre navigation sur ce site, vous acceptez l’utilisation de Cookies vous proposant des publicités adaptées à vos centres d’intérêts.
|
|
.
|
|
|
|
|
|
|
|
| .
. |
|
|
Exercice 3.
Le GOD a été mis en présence de deux substrats potentiels, le D glucose
et le L glucose afin d'étudier sa spécificité vis à vis de l'un ou de
l'autre.

Deux épimères sont des stéréoisomères de configuration qui ne diffèrent
que par la configuration d'un seul carbone asymétrique. Par exemple, le
D glucose et le D mannose ci-dessous sont épimères l'un de l'autre car
ils ne diffèrent que par la configuration du carbone n°2.

Evolution de la
consommation d'O2 en fonction du temps pour le L et le
D-glucose.

|
.
|
|
16. A. Le D-glucose et le L-glucose
sont épimères. Faux.
Ils différent par les configurations de
plusieurs carbones asymétriques.
B. Le L-glucose ne semble pas être reconnu par la GOD. Vrai.
C. Le temps de demi-réaction est égal à la moitié du temps de la
réaction. Faux.
Le temps de demi-réaction
est la durée au bout de laquelle l'avancement est égal à la moitié de
l'avancement final.
D. Pour le D-glucose, on peut estimer que t½~35 s. Vrai.
E- Le D-glucose et le L-glucose sont des stéréoisomères de
configuration qui sont images l'un de l'autre dans un miroir plan. Vrai.
Exercice 4.
Le glucose est présent sous deux formes cycliques appelées anomères (
36,4 % sous forme ß-D-glucose et 63,6 % sous forme d'a-D-glucose). La GOD a une
spécificité particulière puisqu'elle n'agit que sur la forme ß.

17. A. L'anomère ß est caractérisé par des
substituants en position 1 et 5 du même côté du plan moyen du cycle. Vrai.
B. La comparaison des spectres IR de chacun des anomères permettrait de
les différencier. Faux.
C. En RMN, la multiplicité du signal de l'hydrogène du OH porté par
l'atome de carbone 6 est un triplet. Faux.
D. En RMN on peut considérer que les protons portés par le carbone 6
sont équivalents. Vrai.
E. Les deux anomères ne diffèrent que par la configuration d'un seul
atome de carbone. Vrai.

|
|
|
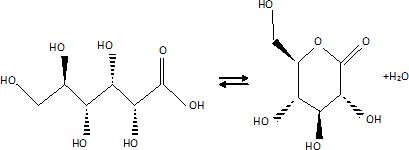
Exercice 5. L'un des produits de la réaction catalysée
par la GOD est l'acide gluconique, qui se cyclise pour donner la
gluconolactone.

18. A. Dans la gluconolactose, on
remarque la présence d'un groupe ester. Vrai.
B. Au cours de cette cyclisation, des atomes ou groupe d'atomes sont
otés de l'acide gluconique sans qu'il ne gagne d'atomes. Vrai.
C. La première étape de la cyclisation peut être une addition
nucléophile sur le carbone du groupe carboxyle. Vrai.
D. La cyclisation s'explique par l'attraction électrostatique entre le
site porteur de charge positive et le site accepteur porteur d'une
charge négative. Faux.
E. La réaction de cyclisation peut être classée dans la catégorie des
réaction d'addition. Faux.
Catégorie des réaction
d'élimination.
|
|
|