Mathématiques,
complexes, intégration, géométrie dans l'espace,
concours Avenir 2016
En poursuivant votre navigation sur ce site, vous acceptez l’utilisation de Cookies vous proposant des publicités adaptées à vos centres d’intérêts.
|
|
|
Nombres complexes.
29. On considère le nombre complexe z = 4+4i, alors un argument de l'opposé de ce nombre complexe conjugué est, à 2p près :
a. p /4 ; b. - p /4 ;
c. -3p /4. d. 3p /4. Vrai.

30. On considère le nombre complexe z = 3 (sin q +i cos q), alors un argument de z, à 2p près, est :
a. q ; b. p/2-q Vrai ; ; c. q+p ;
d. q-p.
z = 3(cos(p/2-q) +i sin(p/2-q).
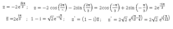
31. On considère le nombre complexe z = -2 exp(2ip/3) alors un argument de z', à 2p près est :
a : 5p/12 ; b : -5p/12 ;
c : 7p/12 ; d : p/12 Vrai.

32. Dans C le trinôme z2-2z+5 admet pour racines :
a : 1+2i et -1-2i ; b : 1+4i et 1-4i ;
c : 1+2i et 1-2i Vrai ; d : 1+4i et -1-4i. Discriminant D = b2-4ac=4-20 = -16 = 16i2.
Solutions : z1 =(2+4i) / 2 = 1+2i et z2=(2-4i)/2 = 1-2i.
33.
On se place dans le plan complexe muni d'un repère orthonormé et on
considère l’ensemble E des points M d’affixe z appartenant à C tels que
|z-1+2i| =1 et |z-5+i|=3 .
a : E est la réunion de 2 droites.
b : E est la réunion de 2 cercles.
c : E est l’intersection non vide de 2 cercles.
d : Aucune des 3 réponses précédentes n’est exacte. Vrai.

|
| .
. |
|
|
34.
On se place dans le plan complexe muni d'un repère orthonormé et on
considère les points A, B, C et D d'affixes respectives 1+i, -1-i, 2+i
et 2-i. On note E l'ensemble des points d’affixe tels que .
a : E est la droite (AC).
b : E est la médiatrice de [AC]. Vrai.
c : E est la droite(BC)
d : E est la médiatrice de [AD].

35. On se place dans le plan complexe muni d'un repère orthonormé et on considère les pointsM d'affixe z tels que z2+3i est un nombre imaginaire pur ; ces points sont situés sur :
a : une droite.
b : les axes du repère.
c : un cercle.
d : la réunion de deux droites différentes des axes du repère. Vrai. z =x+iy ; z2 =x2-y2+2ixy d'où x2-y2=0 ; y = ±x .
36.
On se place dans le plan complexe muni d'un repère orthonormé et on
considère l’ensemble E des points M d’affixez tels que l'argument de
(z+4i) =p/4 à 2p près. Alors :
a : E est une droite.
b : E est la réunion de 2 droites.
c : E est une demi-droite. Vrai.
d : E est la réunion de 2 demi-droites non parallèles.
z = x+iy ; z+4i= x+i(y+4) = cos q + i sin q avec q appartenant à [0 ; p/2 ].
tan q >0 ; y+4 / x =p/4 ; y = p/4 x-4.
Intégration.
37.
b. Vrai.
d. Aucune des réponses précédentes.
On considère la fonction définie sur [1 ; 3 ] représentée ci dessous :

38. a. 3 < I < 4 ; b. 4< I < 5 ; c. 5 < I <6 Vrai ; d. 6 <I <7.
39. On note m la valeur moyenne de f sur [1 ; 3 ], alors :
a. m=2,5 ; b. m=2 ; c. m<2,5 ; d. m > 2,5 Vrai.
m = aire hachurée / (3-1) = aire hachurée / 2 ; 2,5 < m < 6.
|
|
On se place dans l'espace muni d'un repère orthonormé. On considère le cube de côté 1. Soit I le milieu de [A'B'].

|
|